• Ребят, как решать такое? Не просто же тупо подставить?
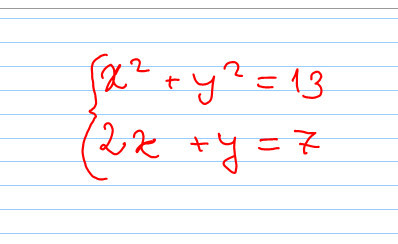
    В общем: Является ли пара чисел (2; 3) решением системы уравнений: (фото приклейтед)

    question img

Ответы 1

  • выразить у во втором уравнениих^2+у^2=13у=7-2хх^2+(7-2х)^2=13у=7-2хх^2+49-28х+4х^2=13у=7-2х5х^2-28х+49-13=0у=7-2х5х^2-28х+36=0у=7-2хтеперь отдельно забираем первое уравнение и решаем его5х^2-28х+36=0D=b^2-4ac=(-28)^2-4*36*5=784-720=64, D>0, 2корнях1=(-b+√D) /2=(28+8)/2=18x2=(-b-√D) /2=(28-8)/2=10y1=7-2*18=7-36=-29y2=7-2*10=7-20=-13
    • Автор:

      lilly26
    • 6 лет назад
    • 0
  • Добавить свой ответ

Еще вопросы

Войти через Google

или

Забыли пароль?

У меня нет аккаунта, я хочу Зарегистрироваться

How much to ban the user?
1 hour 1 day 100 years