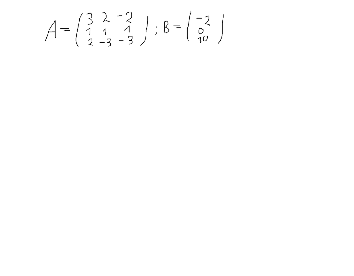
• Решить(любым методом) систему уравнений,заданную в виде A*X=B,где A-матрица системы .B-столбец свободных элементов.

    question img

Ответы 3

  • Напишите пожалуйста понятней)
    • Автор:

      tanner63
    • 6 лет назад
    • 0
  • Изменить уже не могу!( Я обозначил столбец с неизвестными (x,y,z). После этого имеем 3 уравнения. Вторая строка на столбец неизвестных дала второе уравнение . И т.д. по тексту.
    • Автор:

      makena
    • 6 лет назад
    • 0
  •    2-е  уравнение x+y+z=0  3-е уравнение   2x-3(y+z)=101-е уравнение 3x+2y-2z=-2Складываем 3 вторых уравнения с третьим5х=10х=2y+z=-2  или  2y+2z=-4 2y-2z=-8Складывая, получим  4у=-12  у=-3z=1Ответ (2,  -3,  1)
  • Добавить свой ответ

Еще вопросы

Войти через Google

или

Забыли пароль?

У меня нет аккаунта, я хочу Зарегистрироваться

How much to ban the user?
1 hour 1 day 100 years