• Помогите решить. Много способов пробывала но ни один не пододит

    question img

Ответы 1

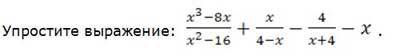
  • (x³-8x)/(x²-16)+x/(4-x)-4/(x+4)-x==(x³-8x)/(x²-16)-x/(x-4)-4/(x+4)-x==(x³-8x-x(x+4)-4(x-4)-x(x²-16))/(x²-16)==(x³-8x-x²-4x-4x+16-x³+16x)/(x²-16)==(16-x²)/(x²-16)=-1.
  • Добавить свой ответ

Войти через Google

или

Забыли пароль?

У меня нет аккаунта, я хочу Зарегистрироваться

How much to ban the user?
1 hour 1 day 100 years