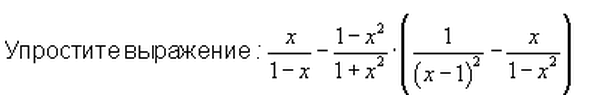
упростите выражение x/1-x - 1-x^2/1+x^2 * (1/(x-1)^2 - x/1-x^2)
Вам нужно решение, или только ответ?
P.S. ответ: -1
Автор:
frodorodgersДобавить свой ответ
НА ОДНОЙ ТАРЕЛКЕ 9 ПИРОЖКОВ,А НА ДРУГОЙ 7,ДАША СЪЕЛА 2 ПИРОЖКА А ИЛЛЮША 3,СКОЛЬКО ПИРОЖКОВ ОСТАЛОСЬ НА ТАРЕЛКАХ?
Предмет:
МатематикаАвтор:
blancoОтветов:
Смотреть
Вычеслите письменно,делая краткие записи. 32 220:60= 21 800:20= 424 900:700= 342 000:300= 28 140:70= 32 400:30= 364 500:900= 336 000:800=
Предмет:
МатематикаАвтор:
ladislaodavidsonОтветов:
Смотреть
Разложите многочлен на множители:
(4л-1)^2-(5k+2)(4k-1)
Предмет:
АлгебраАвтор:
boo bugr5ozОтветов:
Смотреть
Предмет:
ИнформатикаАвтор:
félixspencerОтветов:
Смотреть