• СРОЧНО! 25 баллов!
    Помогите решить уравнение, пожалуйста!
    Желательно со сфотографированным решением, если есть возможность.
    Заранее, спасибо :з

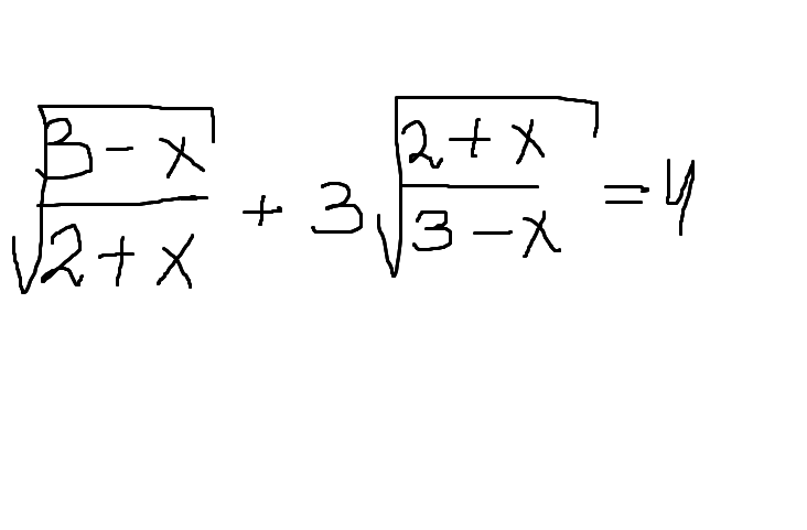
    question img

Ответы 2

  • Спасибо!
    • Автор:

      baltasar
    • 6 лет назад
    • 0
  • Решаете заменой.получаете квадратное уравнение: можете решать его через дискриминант или через т.Виета, как я. Потом делаете обратную замену и все
    answer img
    • Автор:

      layne
    • 6 лет назад
    • 0
  • Добавить свой ответ

Еще вопросы

Войти через Google

или

Забыли пароль?

У меня нет аккаунта, я хочу Зарегистрироваться

How much to ban the user?
1 hour 1 day 100 years