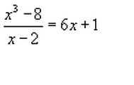
x^3 - 8 = (6x + 1)(x -2)
x^3 - 8 = 6x^2 - 12x + x - 2
x^3 - 6x^2 + 11х - 6 = 0
получилось кубическое уравнение. найдем все делители коэффициента 6: 1,2,3,6. подставим х = 1: 1 - 6 + 11 - 6 = 0. x1 = 1 - это будет первый корень при делении уравнения x^3 - 6x^2 + 11x - 6 на х-1, получается квадратное уравнение: x^2 - 5x +6. приравниваем к нулю и находим дискриминант d = 25 - 24 = 1. находим остальные корни: x2 = 5+1/2 = 3; x3 = 5-1/2 = 2.Ответ х1 = 1, х2 = 3, х3 = 2.
Автор:
creedenceДобавить свой ответ
Помогите пожалуйста написать сочинение по казахской литературе на тему "мой любимый писатель или акын".Заранее спасибо.
Предмет:
Қазақ тiлiАвтор:
jacksongndrОтветов:
Смотреть
C--->CO2--->NA2CO3--->CO2--->CACO3 CA--->CAO--->CASO4--->CAO FE(SO4)3--->FE(OH)3--->FE2O3--->FECL3 ПОМАГИТЕЕ
y-7x=3
y^2-6xy-x^2=-9 -система рівнянь
Написать пригласительную открытку по плану на английском языке дата время когда что должны принести люди и что могут делать люди на твоей вечеринки
Предмет:
Английский языкАвтор:
romeobo3pОтветов:
Смотреть