• Ребят, помогите, пожалуйста! Можно не все. С решением, пожалуйста!

    question img

Ответы 1

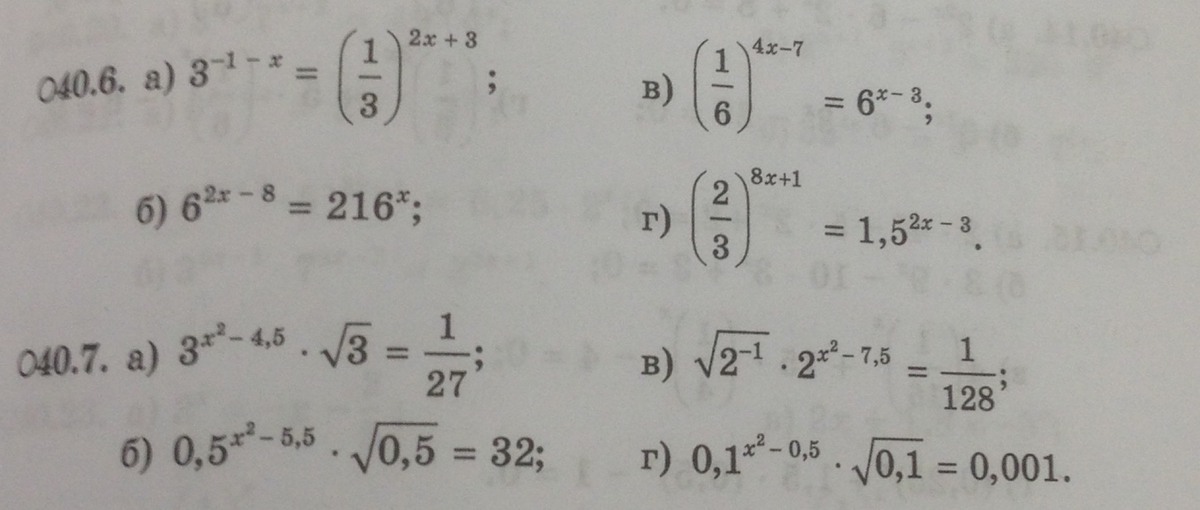
  •  3^(х²-4,5) * √3=1/27   3^(х²-4,5) * 3^1/2=3^-3    3^(х²-4,5+0,5)=3^-3       3^(х²-4)=3^-3     х²-4=-3       х²=1     х=+/-1      
  • Добавить свой ответ

Войти через Google

или

Забыли пароль?

У меня нет аккаунта, я хочу Зарегистрироваться

How much to ban the user?
1 hour 1 day 100 years