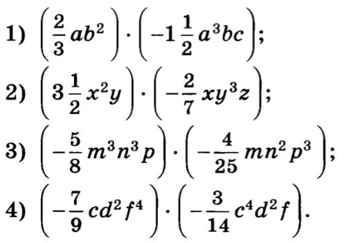
• Выполнить умножение одночленов, только 1 пример! Пожалуйста

    question img

Ответы 1

  • -1 целая1/2 надо перевести в -3/2
    answer img
    • Автор:

      clark
    • 6 лет назад
    • 0
  • Добавить свой ответ

Войти через Google

или

Забыли пароль?

У меня нет аккаунта, я хочу Зарегистрироваться

How much to ban the user?
1 hour 1 day 100 years