• Помогите пожалуйста развернуто, с графиком все решить.
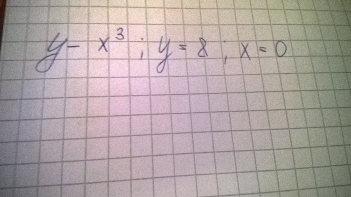
    Вычислить площадь фигуры, ограниченной указанными линиями.

    question img

Ответы 2

  • Спасибо)
    • Автор:

      rich21
    • 6 лет назад
    • 0
  •  \int\limits^8_0 { \sqrt[3]{y} } \, dy =( \frac{y^{ \frac{4}{3}} }{ \frac{4}{3} })|^{8}_{0}= \frac{3}{4}\cdot 8^{ \frac{4}{3}}=  \frac{3}{4}\cdot (8^{ \frac{1}{3}})^{4}= \frac{3}{4}\cdot (2)^{4}= 12         кв. ед
    answer img
    • Автор:

      kolten
    • 6 лет назад
    • 0
  • Добавить свой ответ

Войти через Google

или

Забыли пароль?

У меня нет аккаунта, я хочу Зарегистрироваться

How much to ban the user?
1 hour 1 day 100 years