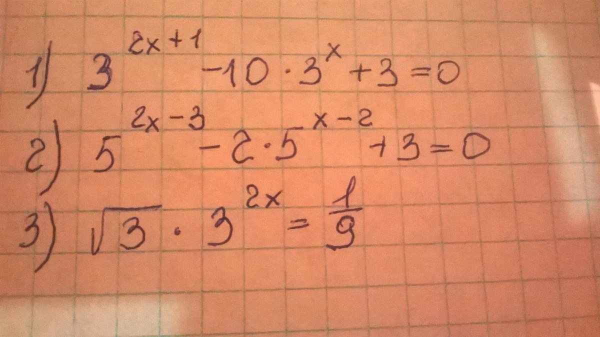
• Дам 30 баллов. Решите пожалуйста 3 примерааа, прошуууууу

    question img

Ответы 3

  • Во 2 примере в условии ошибка. Там не (+3), а (-3).
  • Хорошо, спасибо огромное, а то затруднения были с такими примерами
    • Автор:

      george95
    • 6 лет назад
    • 0
  • 1)\; \; 3^{2x+1}-10\cdot 3^{x}+3=0\\\\3^{x}=t\ \textgreater \ 0\; \to \; \; 3\cdot t^2-10t+3=0\\\\t_1=\frac{1}{3}\; ,\; t_2=3\\\\3^{x}=\frac{1}{3}\; \to \; \; x=-1\\\\3^{x}=3\; \to \; \; x=1\\\\2)\; \; 5^{2x-3}-2\cdot 5^{x-2}-3=0\\\\5^{x}=t\ \textgreater \ 0\; \to \; \; 5^{-3}\cdot t^2-2\cdot 5^{-2}\cdot t-3=0 t^2-10t-375=0\\\\D/4=25+375=400\\\\t_1=-5-20=-25\; ,\; t_2=-5+20=15\\\\5^{x}=25\; \; \to \; \; x=2\\\\5^{x}=15\; \; \to \; \; x=log_515=log_5(5\cdot 3)=1+log_53 3)\; \;  \sqrt{3} \cdot 3^{2x}=\frac{1}{9}\\\\3^{2x+\frac{1}{2}}=3^{-2}\\\\2x+\frac{1}{2}=-2\\\\2x=-\frac{5}{2}\\\\x=-\frac{5}{4}\\
  • Добавить свой ответ

Войти через Google

или

Забыли пароль?

У меня нет аккаунта, я хочу Зарегистрироваться

How much to ban the user?
1 hour 1 day 100 years