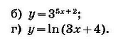
• Решите производную функцию. Примеры прикреплены к фото.

    question img

Ответы 1

  • y=3^(5x+2);f¹(x)=5·3^(5x+2) ·ln3;y=ln(3x+4);f¹(x)=3/(3x+4)
  • Добавить свой ответ

Войти через Google

или

Забыли пароль?

У меня нет аккаунта, я хочу Зарегистрироваться

How much to ban the user?
1 hour 1 day 100 years