• Как это уравнение привести к общему знаменателю, объясните, я вообще не понимаю! И решите его.

    question img

Ответы 2

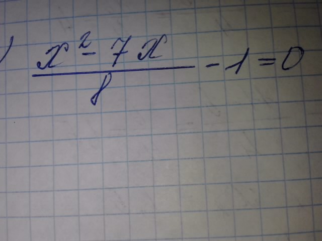
  • х^2-7x/8-1=0   уможаем всё на 8

    получается :

    x^2-7x-8=0x+x=7       x первое =8x*x=-8       х второе =-1

     

    • Автор:

      denisse
    • 6 лет назад
    • 0
  • \frac{x^{2} -7x}{8} -1=0

     x^2-7x-числитель                                      8-знаменатель                                                      x^2=x*x

    =1\1

    Перекрёстное умножение

    1(x^2-7x) =1*8

    x^2-7x=8

    x*x-7x=8

    -9x=8

    x= - 8\9

    Вроде так...

  • Добавить свой ответ

Войти через Google

или

Забыли пароль?

У меня нет аккаунта, я хочу Зарегистрироваться

How much to ban the user?
1 hour 1 day 100 years