• Помогите пожалуйста решить два примера, развернуто, понятно. 

    question img

Ответы 7

  • выложила два фото, надеюсь второе фото видно
  • иногда, когда большой перерыв между решениями , говорят, что не загружается более последнее решение
  • Да видно, спасибо Вам большое.
    • Автор:

      foxy1fyq
    • 6 лет назад
    • 0
  • Спасибо.
    • Автор:

      flint7g8g
    • 6 лет назад
    • 0
  • там в конце не пояснила: cos 3x при х=0 = cos0=1, получается 1/3*1=1/3
  • решения  на  фото*************************
    answer img
    • Автор:

      yandel
    • 6 лет назад
    • 0
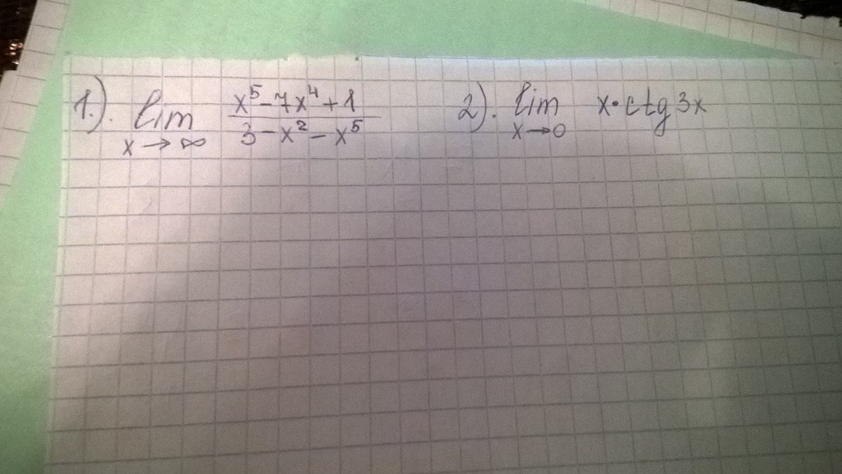
  • 1) Делим числитель и знаменатель на старший член, то есть на x^5 \frac{x^5-7x^4+1}{-x^5-x^2+3}= \frac{1-7/x+1/x^5}{-1-1/x^3+3/x^5}  1/oo = 0, вместо маленьких дробей подставляем нули и получаем ответ: -12)  \lim_{x \to 0} (x*ctg(3x)) = \lim_{x \to 0} (\frac{x*cos(3x)}{sin(3x)} )= \lim_{x \to 0} cos(3x)* \frac{x}{sin(3x)} Согласно 1 Замечательному пределу, дробь стремится к 1/3.Получаем: cos 0*1/3=1*1/3=1/3
    answer img
    • Автор:

      ashley26
    • 6 лет назад
    • 0
  • Добавить свой ответ

Еще вопросы

Войти через Google

или

Забыли пароль?

У меня нет аккаунта, я хочу Зарегистрироваться

How much to ban the user?
1 hour 1 day 100 years