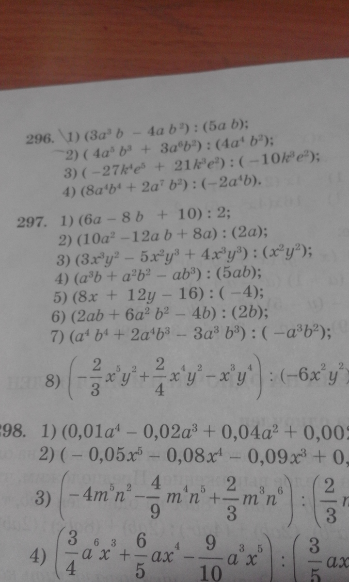
• Выполните деление в 297 1, 3 ,4, 5, 6, 7 пожалуйста

    question img

Ответы 1

  • Спасибо, огромное!
    • Автор:

      miranda
    • 6 лет назад
    • 0
  • Добавить свой ответ

Войти через Google

или

Забыли пароль?

У меня нет аккаунта, я хочу Зарегистрироваться

How much to ban the user?
1 hour 1 day 100 years