• Нужно сократить дробь

    Помогите пожалуйста

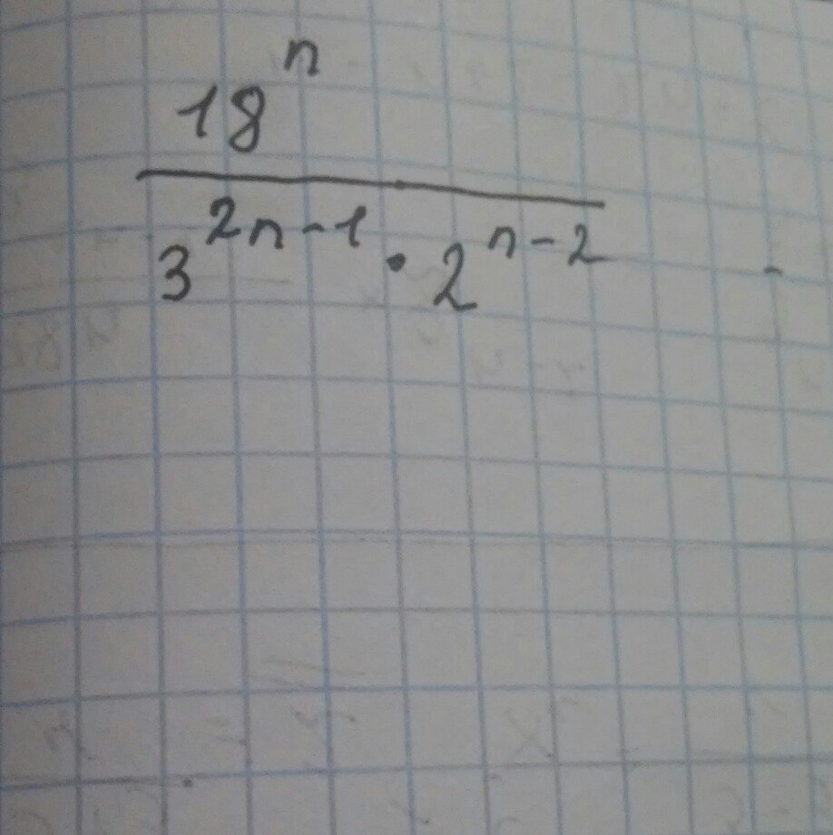
    18^n/ (3^(2n-1) *2^(n-2))

    question img

Ответы 1

  • Решение смотри в приложении
    answer img
    • Автор:

      holden265
    • 6 лет назад
    • 0
  • Добавить свой ответ

Войти через Google

или

Забыли пароль?

У меня нет аккаунта, я хочу Зарегистрироваться

How much to ban the user?
1 hour 1 day 100 years