• 30 баллов! Срочно, пожалуйста с решением:
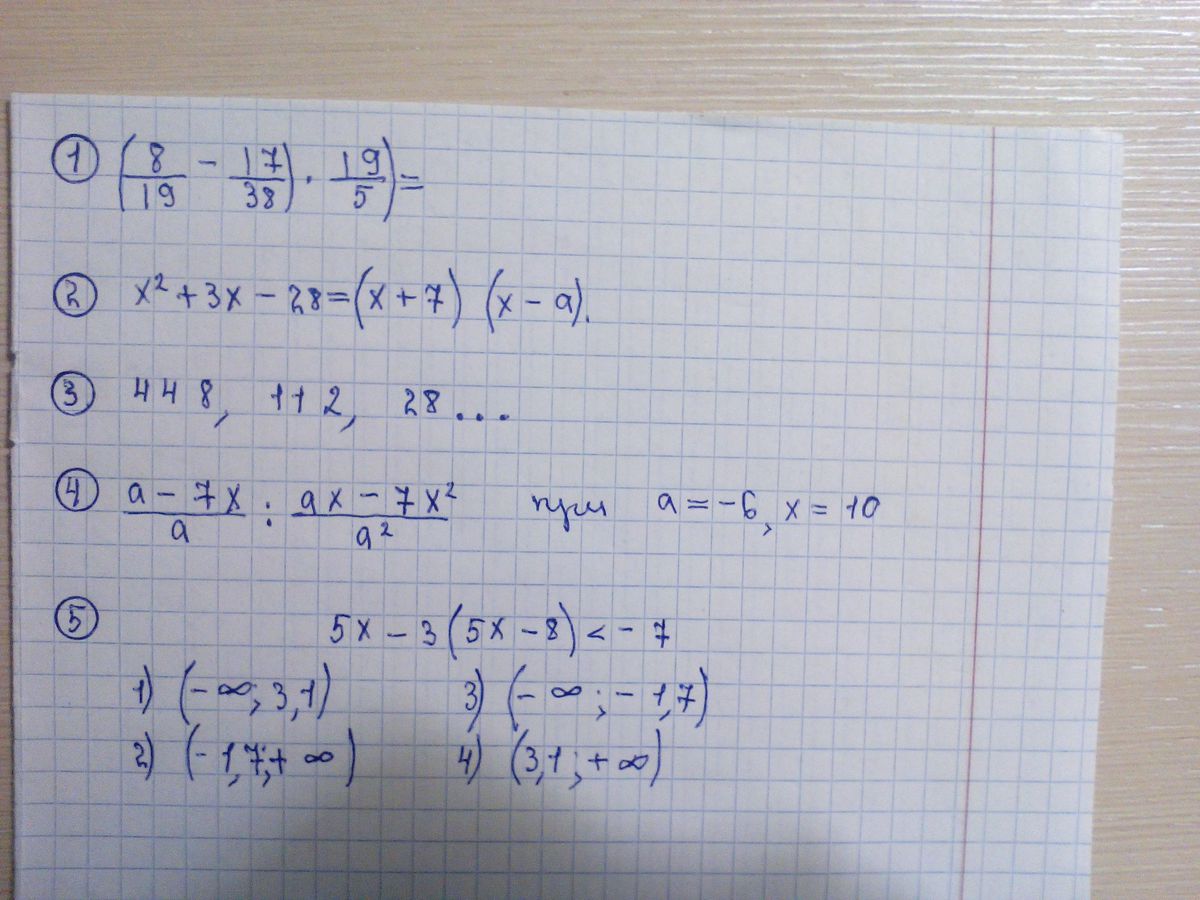
    1) Найти значение выражения.
    2)Квадратный трехчлен разложен на ножители. Найти: а.
    3) Выписаны первые несколько членов геометрической прогрессии: 418, 112, 28... . Найти сумму первых четырех её членов.
    4) Найти значение выражения.
    5) Укажите решение неравенства.( Решение показать)
    6) Решите уравнение (х²-25)² + (х²+ 3х-10)²=0

    question img

Ответы 3

  • обнови страницу
  • Спасибо большое)
    • Автор:

      kiara
    • 6 лет назад
    • 0
  • 1) (\frac8{19}-\frac{17}{38})*\frac{19}{5}=\frac{16-17}{38}*\frac{19}{5}=-\frac{1}{38}*\frac{19}{5}=-\frac1{10}\\
\\
2) x^2+3x-28=0\\
D=3^2-4*(-28)=9+112=121=11^2\\
x_1=\frac{-3-11}2=-7\\
x_2=\frac{-3+11}2=4\\
x^2+3x-28=(x+7)(x-4)\\
a=4\\
\\
3)448, \ 112, \ 28, \ ...\\
q=\frac{112}{448}=\frac14=0.25\\
S_n=\frac{b_1*(1-q^n)}{1-q}\\
S_4=\frac{448*(1-(\frac14)^4)}{1-\frac14}=\frac{448*(1-\frac{1}{256})}{\frac34}=\frac{448*\frac{255}{256}}{\frac34}=\frac{7*255}{4}*\frac{4}{3}=85*7=595\\
\\
jk4)\frac{a-7x}{a}:\frac{ax-7x^2}{a^2}=\frac{a-7x}{a}*\frac{a^2}{ax-7x^2}=\frac{a-7x}{a}*\frac{a^2}{x(a-7x)}=\frac{a}x=\frac{-6}{10}=-0.6\\
\\
5)5x-3(5x-8)\ \textless \ -7\\
5x-15x+24\ \textless \ -7\\
-10x\ \textless \ -7-24\\
-10x\ \textless \ -31 \ |:(-10)\\
x\ \textgreater \ 3.1ответ: х ∈ (3,1; +∞)6) (x^2-25)^2+(x^2+3x-10)^2=0\\
(x^2-25)^2=-(x^2+3x-10)^2\\
x^2-25=-(x^2+3x-10)\\
x^2-25=-x^2-3x+10\\
x^2-25+x^2+3x-10=0\\
2x^2+3x-35=0 \\
D=3^2-4*2*(-35)=9+280=289\\
x_1=\frac{-3+17}{4}=3.5\\
x_2=\frac{-3-17}{4}=-5ответ: -5 и 3,5
  • Добавить свой ответ

Войти через Google

или

Забыли пароль?

У меня нет аккаунта, я хочу Зарегистрироваться

How much to ban the user?
1 hour 1 day 100 years