• Решите уравнения. 6 уравнений. Пожалуйста с верным решением. 
    Уравнения прикреплены.

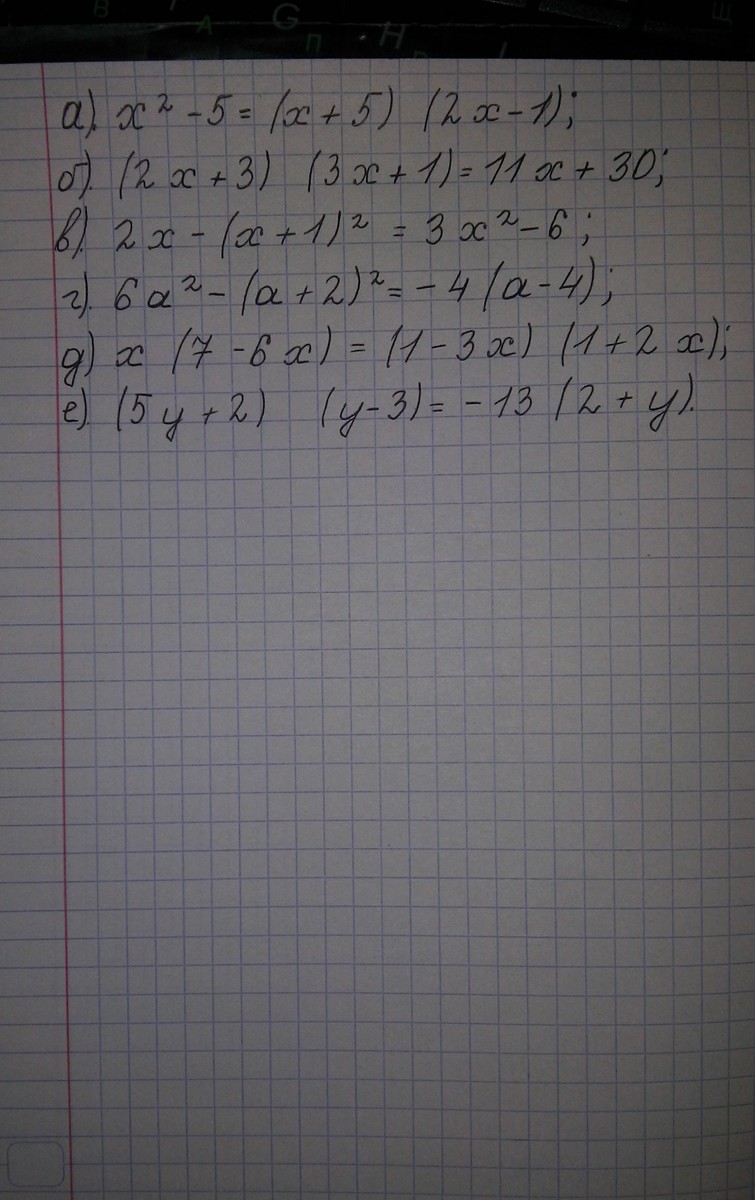
    question img

Ответы 1

  • а) x²-5=(x+5)(2x-1)x²-5=2x²+10x-x-5x²-5=2x²+9x-5x²-2x²-9x-5+5=0-x²-9x=0x²+9x=0x(x+9)=0x=0       x+9=0             x= -9Ответ: -9; 0.б) (2х+3)(3х+1)=11х+306х²+9х+2х+3=11х+306х²+11х+3=11х+306х²+11х-11х+3-30=06х²-27=06х²=27х²=27/6х²=9/2х₁= √(9/2) = 3/√2х₂= -3/√2Ответ: -3/√2;  3/√2в) 2x-(x+1)² =3x²-62x-x²-2x-1=3x²-6-x²-1=3x²-6-x²-3x²=-6+1-4x²=-5x²= -5/(-4)x²= 1.25x₁= √1.25x₂= -√1.25Ответ: -√1,25;  √1,25г) 6a²-(a+2)²= -4(a-4)6a²-a²-4a-4=-4a+165a²-4a-4=-4a+165a²-4a+4a-4-16=05a²-20=05a²=20a²=4a₁=2a₂= -2Ответ: -2; 2д) x(7-6x)=(1-3x)(1+2x)7x-6x² = 1-3x+2x-6x²7x-6x² = 1-x-6x²-6x²+6x²+7x+x=18x=1x=1/8Ответ: 1/8е) (5y+2)(y-3)=-13(2+y)5y²+2y-15y-6=-26-13y5y²-13y-6=-26-13y5y²-13y+13y=-26+65y²=-20y²=-4нет решенийОтвет: нет решений.
    • Автор:

      tara68
    • 6 лет назад
    • 0
  • Добавить свой ответ

Войти через Google

или

Забыли пароль?

У меня нет аккаунта, я хочу Зарегистрироваться

How much to ban the user?
1 hour 1 day 100 years