• ПОМОГИТЕ, ПОЖАААЛУЙСТА!
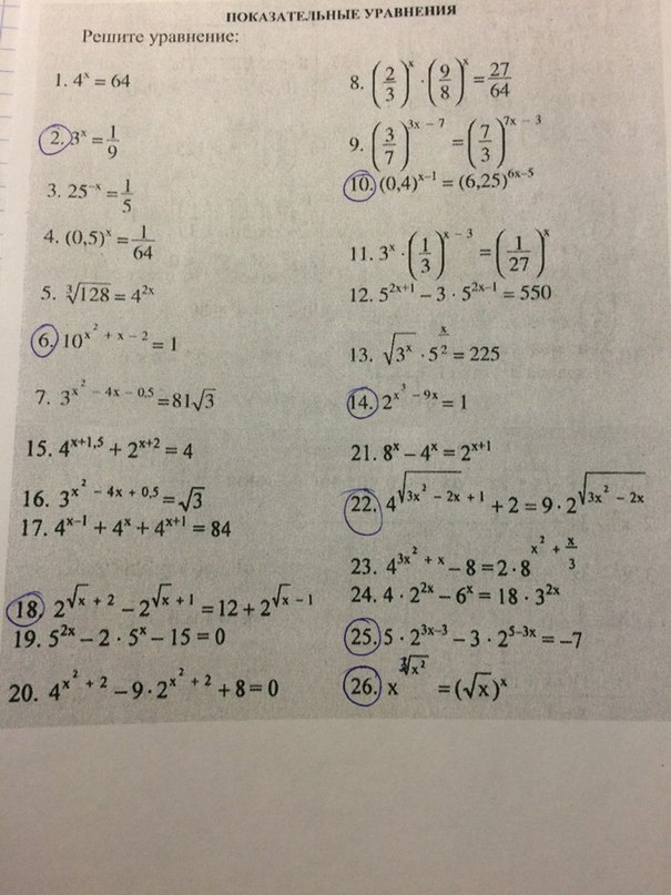
    Нужно решить уравнения под номерами 10, 18, 22, 25 и 26!!!

    question img

Ответы 1

  • 10. (2/5) ^(x -1) =((5/2)²) ^(6x -5) ;(5/2) ^(1 -x) =(5/2) ^2(6x -5) ;1 -x =2(6x -5)⇒x =11/13.---18. 2 ^(√x+2) -  2 ^(√x+1) =12+  2 ^(√x-1) ; 2 ^(√x-1) (2³ -2² -1) =12 ; 3*2 ^(√x-1) =12  ;2 ^(√x-1) =2²⇔√x-1 =2⇒x =9.---22. 4^(√(3x² -2x)+1)  +2 =9*2^√(3x² -2x) ;ОДЗ: 3x² -2x ≥0.4*(2^√(3x² -2x))² - 9*2^√(3x² -2x) +2 =0 ;  * * *  t =2^√(3x² -2x) >0  * * *4t² -9t +2 =0 ;D =9² -4*4*2 =81 - 32 =49 =7².t₁ =(9-7)/8  =1/4 ⇒2^√(3x² -2x) = 2 ^(-2) ⇒√(3x² -2x)  = -2 нет  решения.t₂ =(9+7)/8  =2 ⇒ 2^√(3x² -2x) = 2 ⇒ 3x² -2x =1 ∈ ОДЗ .3x² -2x -1 =0 ;x₁ =(1 -2)/3 = -1/3 .x₂ =(1 +2)/3 =1 .ответ:   -1/3  ; 1.---25.  5*2^(3x -3) - 3*2^(5-3x) = -7 ;5*2^(3x -3) - 3*2^(3-3x)*2² = -7 ;5*2^(3x -3) - 12*2^(3-3x) = -7 ; * * *2^(3-3x)  =(2 ^(3x-3)) ^(-1) =1/(2 ^(3x-3)) * * *5*2^(3x -3) - 12/2^(3x-3) = -7 ; * * * замена:  t =2^(3x-3) >0 * * * 5t -12/t +7 =0 ;5t² +7t -12 =0 ;t₁ =(-7 -17)/10 = -12/5  < 0 не решения .t₂ =((-7 +17)/10=1 ⇒2^(3x-3) =1 ⇔2^(3x-3) =2⁰⇒x=1.ответ:  1.---26.. x^(∛x²) =(√x)^ x ;ОДЗ: x > 0.x =1 корень, а если x ≠ 1, то x^(∛x²) =(x)^ ((1/2)*x) ;∛x² =x/2 ⇔x² =x³/8 ⇒ x²(x -8) =0 ⇒x₁ =0 ∉ ОДЗ  и x₂ =8 .ответ:  1 ; 8.********** кажется все УДАЧИ !
    • Автор:

      ricardo76
    • 6 лет назад
    • 0
  • Добавить свой ответ

Войти через Google

или

Забыли пароль?

У меня нет аккаунта, я хочу Зарегистрироваться

How much to ban the user?
1 hour 1 day 100 years