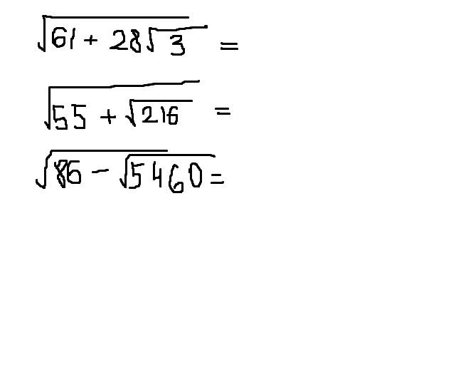
• Задали дополнительное задание по алгебре.(8 класс) Такое на базовой программе не проходят. Помогите решить.

    question img

Ответы 10

  • получается так, учитель написал
  • ща попробуем решить
  • получится1)√69,6=8,3 2)√12.2=3,4
    • Автор:

      rusty73
    • 6 лет назад
    • 0
  • Спасибо, но к сожалению это не так(
    • Автор:

      bessie63
    • 6 лет назад
    • 0
  • а вы знаете ответ?
  • это правильные ответы, можно же на калькуляторе посчитать))
  • Высшая математика. Должно получится целое число.
    • Автор:

      rosa42
    • 6 лет назад
    • 0
  • трудно
    • Автор:

      piggybu0t
    • 6 лет назад
    • 0
  • а это корень из 55+кореньиз тоесть все один корень в котором еще корень?
  • 55.4 22.1-64.6вроде бы так))
    answer img
  • Добавить свой ответ

Войти через Google

или

Забыли пароль?

У меня нет аккаунта, я хочу Зарегистрироваться

How much to ban the user?
1 hour 1 day 100 years