• Кто сможет объяснить почему у=2,у=-6,у=28,у=6?
    Смотреть фото↓

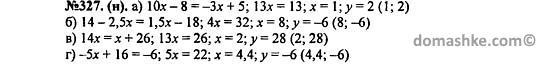
    question img

Ответы 2

  • спасибо)
  • y=10x-8y=-3x+510x-8=-3x+513x=13x=1y=10*1-8=2 или у=-3*1+5=2полученный х просто подставили в одну из частей выражения и решили. остальные примеры аналогично
  • Добавить свой ответ

Еще вопросы

Войти через Google

или

Забыли пароль?

У меня нет аккаунта, я хочу Зарегистрироваться

How much to ban the user?
1 hour 1 day 100 years