• Не проходите мимо, пожалуйста!
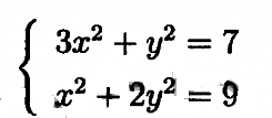
    Решите методом алгебраического сложения систему уравнений:

    question img

Ответы 1

  • 3х'2+у'2=7 |•(-2)Х'2+2у'2=0Умножаем первое уравнение на -2-6х'2-2у'2=-14Х'2+2у'2=9Складываем-5х'2=-5Х'2=1Х=1 или х=-1Создаем две системы которые объединенные одной общой квадратной скобкойХ=1У=2 и у=-2Х=-1У=2 и -2
  • Добавить свой ответ

Войти через Google

или

Забыли пароль?

У меня нет аккаунта, я хочу Зарегистрироваться

How much to ban the user?
1 hour 1 day 100 years