• ПОМОГИТЕ!!!
    Решите методом замены переменных систему уравнений:

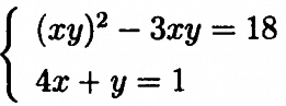
    question img

Ответы 1

  • xy=aa²-3a-18=0a1+a2=3 u a1*a2=-18a1=6 U a2=-31)xy=64x+y=1⇒y=1-4xx-4x²-6=04x²-x+6=0D=1-96=-95<0 нет решения2)xy=-3x-4x²+3=04x²-x-3=0D=1+48=49x1=(1-7)/8=-3/4⇒y1=1-4*(-3/4)=1+3=4x2=(1+7)/8=1⇒y2=1-4=-3(-3/4;4);(1;-3)
  • Добавить свой ответ

Еще вопросы

Войти через Google

или

Забыли пароль?

У меня нет аккаунта, я хочу Зарегистрироваться

How much to ban the user?
1 hour 1 day 100 years