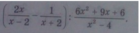
• Упростите выражение:
    ( 2x/x-2 - 1/ x+2 ) : 6x^2+9x+6/x^2-4

    question img

Ответы 1

  • Вот, написала подробно
    answer img
  • Добавить свой ответ

Еще вопросы

Войти через Google

или

Забыли пароль?

У меня нет аккаунта, я хочу Зарегистрироваться

How much to ban the user?
1 hour 1 day 100 years