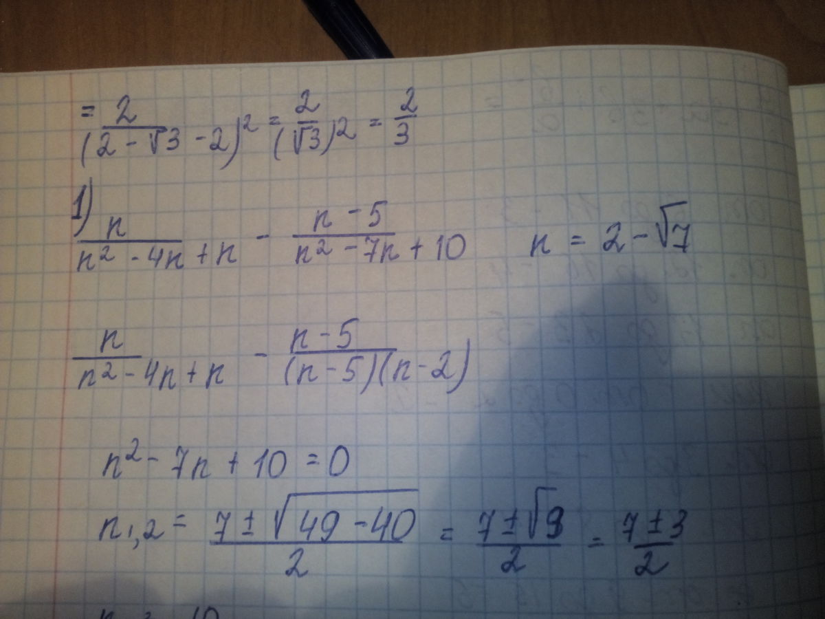
• Помогите пожалуйста^_^.ОЧЕНЬ НАДО .Единицей отмечено.

    question img

Ответы 3

  • Спасибо^-^
  • Решениеn/(n² - 3n) - 1/(n - 2) = [n*(n - 2) - (n² - 3n)] / [ (n² - 3n) * ( n - 2)] = = n / [n* (n - 3) * ( n - 2)] = 1 / [(n - 3) * ( n - 2)]
  • Решениеn/(n² - 3n) - 1/(n - 2) =  [n*(n - 2) - (n² - 3n)] / [ (n² - 3n) * ( n - 2)] = = n / [n* (n - 3) * ( n - 2)] = 1 / [(n - 3) * ( n - 2)] 
  • Добавить свой ответ

Войти через Google

или

Забыли пароль?

У меня нет аккаунта, я хочу Зарегистрироваться

How much to ban the user?
1 hour 1 day 100 years