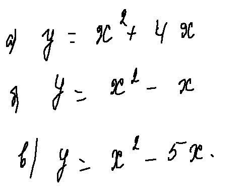
• ОЧЕНЬ СРОЧНО!!!НАДО ПОСТРОИТЬ ГРАФИКИ ПО ЭТИМ ФУНКЦИЯМ!!!!!!!!!!!!ОЧЕНЬ СРОЧНО!!!!ОТДАЮ 44 БАЛЛА!!!!ПИШИТЕ ПРАВИЛЬНО!!!!!!

    question img

Ответы 1

  • это графики параболы,ветвь которой проходит через начало координат
  • Добавить свой ответ

Войти через Google

или

Забыли пароль?

У меня нет аккаунта, я хочу Зарегистрироваться

How much to ban the user?
1 hour 1 day 100 years