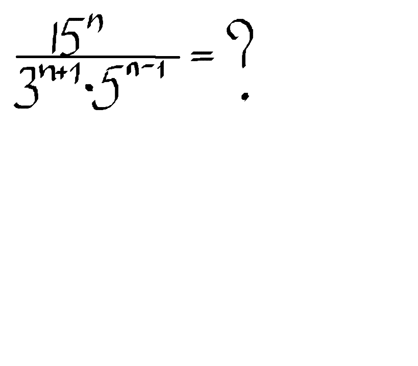
• ПОМОГИТЕ ПОЖАЛУЙСТА, СОКРАТИТЬ ДРОБЬЬ!!! ДАМ 30 БАЛЛОВ

    question img

Ответы 4

  • а можно ли умножать основания 3 умножить на 5 ????Е
    • Автор:

      lyric38
    • 6 лет назад
    • 0
  • Это не зависит от того, что разные степени показателей?
    • Автор:

      sharon
    • 6 лет назад
    • 0
  • !!!!!!!!!!!!!!!!!!!!!!!!!!!!!!!!!!!!!
    answer img
    • Автор:

      pandora
    • 6 лет назад
    • 0
  • так кажется ...............
    answer img
  • Добавить свой ответ

Войти через Google

или

Забыли пароль?

У меня нет аккаунта, я хочу Зарегистрироваться

How much to ban the user?
1 hour 1 day 100 years