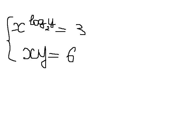
• Помогите с системой логарифмических уравнений!
    Заранее спасибо :3

    question img

Ответы 2

  • Спасибо большое за помощь!
  • Решение большое на 3х листочках.совмещай
    answer img
  • Добавить свой ответ

Еще вопросы

Войти через Google

или

Забыли пароль?

У меня нет аккаунта, я хочу Зарегистрироваться

How much to ban the user?
1 hour 1 day 100 years