• Помогите решить логарифмические неравенства!!!

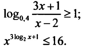
    question img

Ответы 6

  • Спасибо, а не знаете, как можно решить второе?
  • Думаю)) пока не знаю
    • Автор:

      holden265
    • 6 лет назад
    • 0
  • Спасибо! Поняла всё)
  • Не все поняли ! Разве не решение x =1/4 < 1/2∛2 (или x =1/8 ; x =1/16 ... ) ?Проверка: (1/4) ^ ((3Log(2) 1/4) + 1 ) =(1/4) ^(-6 +1) = (1/4) ^(-5) =2¹⁰ >2⁶ ||1024 >> 16|| ....
  • 2¹° >2⁴ =16
  • 1)ОДЗ(3x+1)/(x-2)>0x=-1/3 U x=2         +                    _                    +-----------(-1/3)-------------(2)-------------------x<-1/3 U x>2(3x+1)/(x-2)≤2/5(15x+5-2x+4)/5(x-2)≤0(13x+9)/(x-2)≤0x=-9/13 U x=2 +                    _                    +-----------[-9/13]-------------(2)--------------------9/13≤x<2x∈[-9/13;-1/3)2)ОДЗ x>0прологарифмируем по основанию 2(3log(2)x+1)*log(2)x≤log(2)163log²(2)x+log(2)x≤4log(2)x=a3a²+a-4≤0D=1+48=49a1=(-1-7)/6=-4/3a2=(-1+7)/6=1-4/3≤a≤1-4/3≤log(2)x≤1x∈[1/2∛2;2]
  • Добавить свой ответ

Еще вопросы

Войти через Google

или

Забыли пароль?

У меня нет аккаунта, я хочу Зарегистрироваться

How much to ban the user?
1 hour 1 day 100 years