• Найдите промежутки возрастания и убывания функции.

    question img

Ответы 1

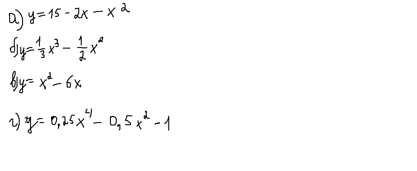
  • a)y=15-2x-x^2\\ y'=-2-2x\\ -2-2x=0\\ 2x=-2\\ x=-1\\

    ставим точку -1 на сисловой прямой. и смотри на уравнение y=-2-2x. знак перед отрицательый, значит __+_-1_-__. Т.е. начинаем не сплюса, как обычно, а с минуса, т.е. перед иском минус.

    (-\infty;-1) - промежуток возрастания

    (-1;+\infty) - промежуток убывания

     

    б)y=\frac{1}{3}x^3-\frac{1}{2}x^2\\ y'=x^2-x\\ x^2-x=0\\ x(x-1)=0\\ x=0\\ x-1=0\\ x=1

    отмечаем точки 0 и 1 на числовой примой. уравнение x^2-x. смотрим на иск со старшей степенью - x^2 - положительный. значит расставляем знаки с плюса, чередуя(если же сомнения возникают, то можно делать проверки уравнения x^2-x промежуточных значений и смотреть какой знак выходит, так уж не ошибёшься). выходит:  _+_0_-_1_+_

    (-\infty;0)\cup(1;+\infty) - промежутки возрастания

    (0;1) - промежуток убывания

     

    в)y=x^2-6x\\ y'=2x-6\\ 2x-6=0\\ 2x=6\\ x=3\\

    Снова те же операции, отмечаем 3-ойку. 2x-6 - соотвественно начинаем с плюса, чередуя.  _-_3_+_

    (3;+\infty) - промежуток возрастания

    (-\infty;3) - промежуток убывания

     

    г)y=0,25x^4-0,5x^2-1\\ y'=x^3-x\\ x^3-x=0\\ x(x^2-1)=0\\ x=0\\ x^2-1=0\\ x^2=1\\ x=\pm 1

    точки -1, 0, 1. уравнение x^3-x. у иска со старшей степенью знак положительный, начинаем с плюса и чередуем

    _-_-1_+_0_-_1_+_

    (-1;0)\cup(1;+\infty) - промежутки возрастания

    (-\infty;-1)\cup(0;1) - промежутки убывания

    • Автор:

      wilmamlgm
    • 6 лет назад
    • 0
  • Добавить свой ответ

Войти через Google

или

Забыли пароль?

У меня нет аккаунта, я хочу Зарегистрироваться

How much to ban the user?
1 hour 1 day 100 years