• Господа, я взываю к вашей помощи! Срочно нужно сделать эти интегралы. Если кто может помочь хоть чем-то, помогите пожалуйста!

    ЗАДАНИЕ!
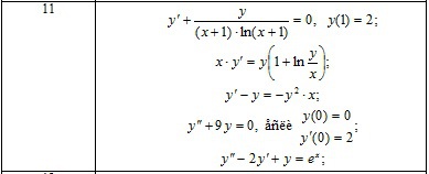
    Решить дифференциальные уравнения. Найти частное решение (интеграл), если указаны начальные условия.

    question img

Ответы 2

  • предоставить полное решение этого уравнения, что, видимо, никто не согласится делать
    • Автор:

      tucker13
    • 6 лет назад
    • 0
  • что сделать надо с ними?
  • Добавить свой ответ

Войти через Google

или

Забыли пароль?

У меня нет аккаунта, я хочу Зарегистрироваться

How much to ban the user?
1 hour 1 day 100 years