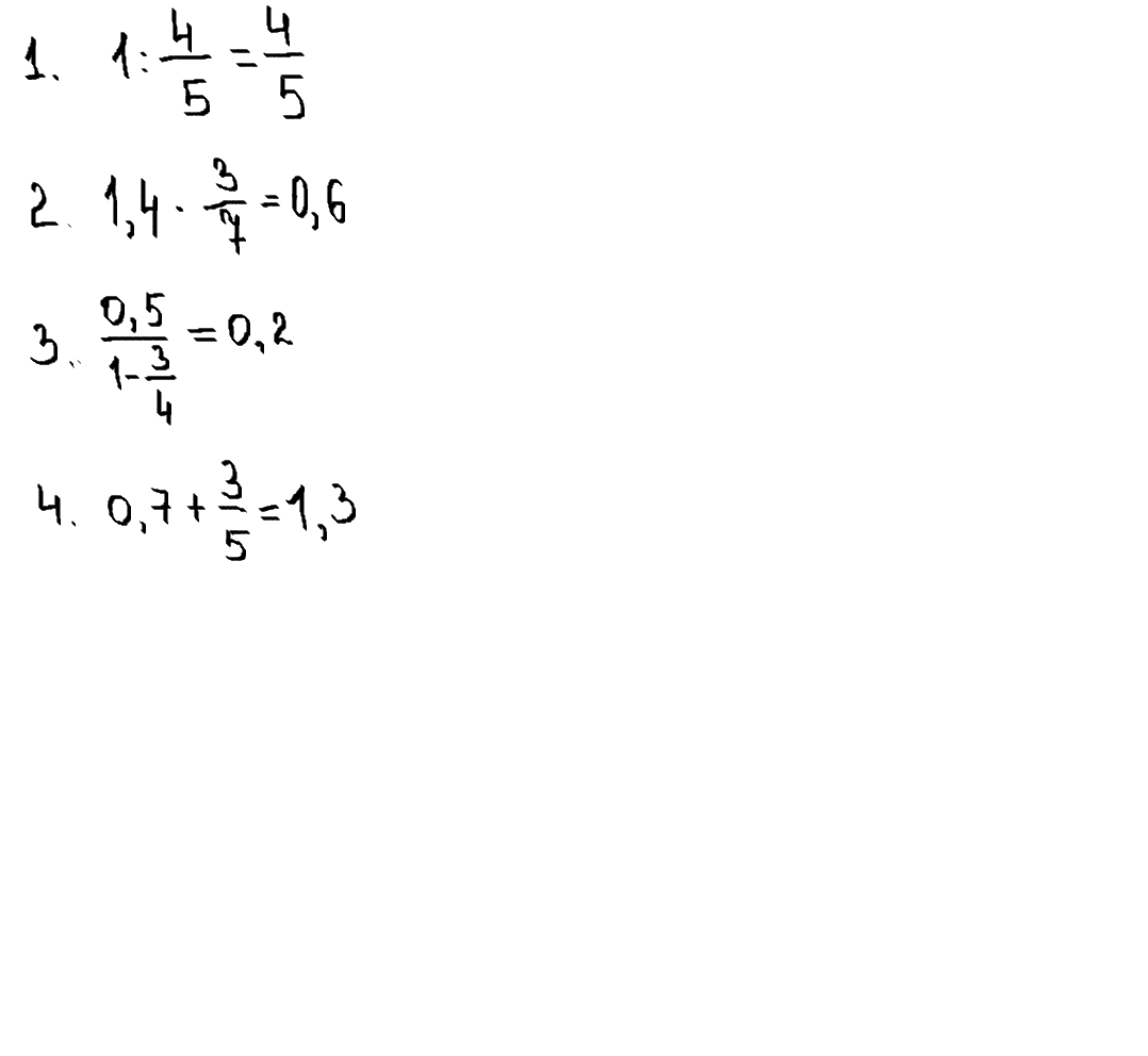
Перечислите в ответе номера верных равенств.
Предмет:
АлгебраАвтор:
maestroirujПравельные ответы: 2 и 4
Автор:
joshpybuДобавить свой ответ
Предмет:
Русский языкАвтор:
aprilnealОтветов:
Смотреть
помогите пожалуйста сделать синквейн к словам омонимы антонимы и синонимы
Предмет:
Русский языкАвтор:
poppy80Ответов:
Смотреть
5-6 предложений из художественной литературы с обособленными обстаятельствами пожайлусто помогите
Предмет:
Русский языкАвтор:
butterfingerojmbОтветов:
Смотреть
помогите написать свое мнение к изложению "голубая ель" : Мне рассказали недавно историю о елке, посаженной в одном московском дворе. Это была голубая серебристая ель. Голубое дерево из сказки. Жильцы, въехавшие в новый дом, посадили елку сами. Для нее вырыли глубокую яму, подготовили ей хорошую рыхлую землю, обложили дно ямы лесным дерном. Привезли даже немного хвои из леса и посыпали вокруг елки, чтобы она почувствовала себя, как дома. Дерево прижилось. На ветках появились свежие, пушистые побеги. Голубая ель стала гордостью всего дома, его украшением. Она пышно разрослась и вечером, если вы проходили мимо, вас касался задумчивый и щемящий запах лесной хвои, запах детства, запах чистоты. И вот однажды, перед Новым годом, жильцы, выйдя из дома ранним утром, увидели, что елку кто-то срубил. Срубил не у корня, а забрал юную, пушистую верхушку. Изуродованное дерево стояло во дворе, беспомощно распластав оставшиеся нижние ветви, словно ему отрубил голову палач. Люди долго смотрели на ель, не веря своим глазам, - смотрели с болью, содроганием, гневом… На следующий день жильцы прикрепили к дереву табличку. Табличка была сделана добротно, старательно, на ней было написано отчетливыми буквами: “Памятник подлецу, который под Новый год срубил елку”. Ель засохла и умерла. Табличка на мертвом дереве укреплена до сих пор. Человек, срубивший дерево, проходит, может быть мимо него каждый день. И каждый день мертвая ель, как молчаливый укор совести, напоминает ему о содеянном.
Предмет:
Русский языкАвтор:
aidan363Ответов:
Смотреть