• Значение какого из выражений является числом иррациональным?

    question img

Ответы 1

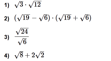
  • √3*√12=√36=6(√19-√6)(√19+√6)=√19²-√6²=19-6=13√24/√6=√24/6=√4=2это всё рациональные числа√8 + 2√2  иррациональое число
    • Автор:

      alexvjhd
    • 6 лет назад
    • 0
  • Добавить свой ответ

Войти через Google

или

Забыли пароль?

У меня нет аккаунта, я хочу Зарегистрироваться

How much to ban the user?
1 hour 1 day 100 years