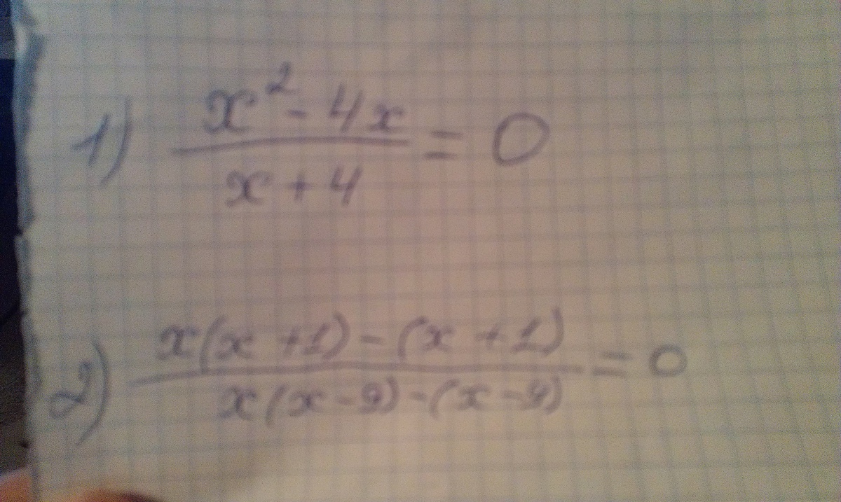
• 46Б. Помогите найти корень уравнения подробно , и решить уравнения.
    (Задание на фото)

    question img

Ответы 3

  • Спасибо , помог
    • Автор:

      jon
    • 6 лет назад
    • 0
  • А как баллы то дать?:D
  • \\\\\\\\\\\\\\\\\\\\\\\\\\\\\\\\\
    answer img
    • Автор:

      mylie
    • 6 лет назад
    • 0
  • Добавить свой ответ

Войти через Google

или

Забыли пароль?

У меня нет аккаунта, я хочу Зарегистрироваться

How much to ban the user?
1 hour 1 day 100 years