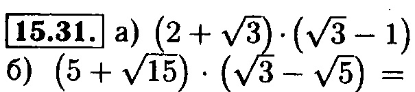
• Помогите решить? Желательно на листке напишите и отправьте, пожалуйста

    question img

Ответы 2

  • первое не правильно
    • Автор:

      boozer
    • 6 лет назад
    • 0
  • Почему не правильно? а как правильно?
  • Добавить свой ответ

Войти через Google

или

Забыли пароль?

У меня нет аккаунта, я хочу Зарегистрироваться

How much to ban the user?
1 hour 1 day 100 years