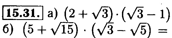
• помогите , решение обязательно , желательно на листке

    question img

Ответы 2

  • Да не правильно...
  • a 2√3+3-2-√3=1+√3б 5√3-√5+√45-√75=5√3-√5+3√5-5√3=2√5
  • Добавить свой ответ

Войти через Google

или

Забыли пароль?

У меня нет аккаунта, я хочу Зарегистрироваться

How much to ban the user?
1 hour 1 day 100 years