• ||МНОГО БАЛЛОВ|| ПОМОГИТЕ НАЙТИ ПЕРВУЮ И ВТОРУЮ ПРОИЗВОДНУЮ ФУНКЦИИ (ПЫ.СЫ. ВЫБИРАЙТЕ ПРИМЕР, КОТОРЫЙ ПРОЩЕ РЕШАТЬ И РЕШИТЕ ПОДРОБНО)

    question img
    question img

Ответы 1

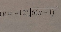
  • y= -12  \sqrt[3]{6(x-1)^2} = -12 *  6^{ \frac{2}{3} }* (x-1)^{ \frac{2}{3} }  \\ 
 \\ 
y' = -12* 6^{ \frac{2}{3} }* \frac{2}{3}* (x-1)^{ \frac{2}{3}- \frac{3}{3}  }= \\ 
   = - \frac{-4*3* 6^{ \frac{2}{3} }*2 }{3}* (x-1)^{- \frac{1}{3} }= \\ 
  = -8* 6^{ \frac{2}{3} }* (x-1)^{- \frac{1}{3} }= \\ 
  = \frac{-8* \sqrt[3]{ 6^{2} } }{ \sqrt[3]{x-1} }= \\ 
=-8* \sqrt[3]{ \frac{36}{x-1} } \\ 
 \\ 
 \\ 
y''=-8* 6^{ \frac{2}{3} }* \(-frac{1}{3})* (x-1)^{  -\frac{1}{3}- \frac{3}{3}  }= \\ 
             
 = \frac{8* 6^{ \frac{2}{3} } }{3 (x-1)^{ \frac{4}{3} } }= \frac{8* 6^{ \frac{2}{3} } }{3(x-1) \sqrt[3]{x-1} }= \\ 
= \frac{8}{3(x-1)}* \sqrt[3]{ \frac{36}{x-1} }
  • Добавить свой ответ

Войти через Google

или

Забыли пароль?

У меня нет аккаунта, я хочу Зарегистрироваться

How much to ban the user?
1 hour 1 day 100 years