• Решите все задания.С РЕШЕНИЯМИ .ПООЖАЛУЙСТА
    +20 баллов за решение

    question img

Ответы 2

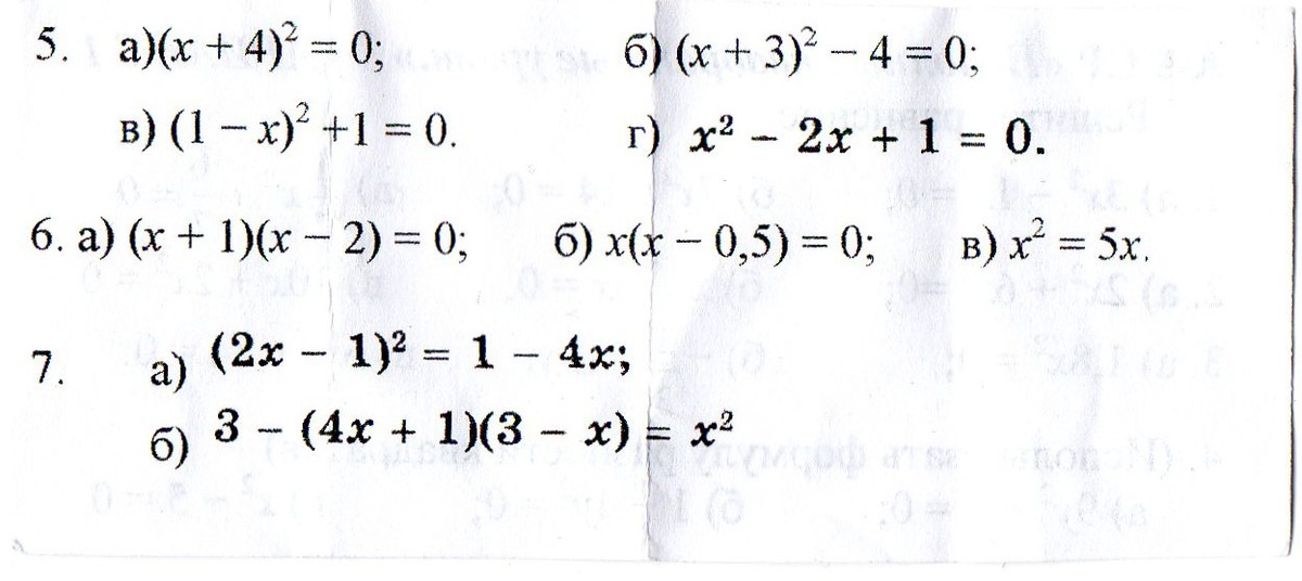
  • 5.a)(x+4)^2=0x^2+8x+16=0D=64-64=0x=-8+0/2=-4б)(x+3)^2-4=0x^2+6x+9-4=0x^2+6x+5=0D=36-20=16x(1)=-6+4/2=-1x(2)=-6-4/2=-5в)(1-x)^2+1=0 x^2-2x+2=0D=4-8=-4нет корнейг)x^2-2x+1=0D=4-4=0x=2+0/2=16.a)(x+1)(x-2)=0x+1=0 или х-2=0х(1)=-1      х(2)=2б)х(х-0,5)=0х=0 или х-0,5=0х(1)=0  х(2)=0,5в)х^2=5xx^2-5x=0x(x-5)=0x=0 или x-5=0x(1)=0  x(2)=5 7.(2x-1)^2=1-4x2x^2-4x+1-1+4x=02x^2=0x=0б)3-(4x+1)(3-x)=x^23-(12x-4x^2+3-x)-x^2=03-12x+4x^2-3+x-x^2=03x^2-11x=0x(3x-11)=0x=0 или 3х-11=0х(1)=0   3х=11               х(2)=11/3=3 2/3
  • Вроде,так...........................
    answer img
    • Автор:

      abdón
    • 6 лет назад
    • 0
  • Добавить свой ответ

Еще вопросы

Войти через Google

или

Забыли пароль?

У меня нет аккаунта, я хочу Зарегистрироваться

How much to ban the user?
1 hour 1 day 100 years