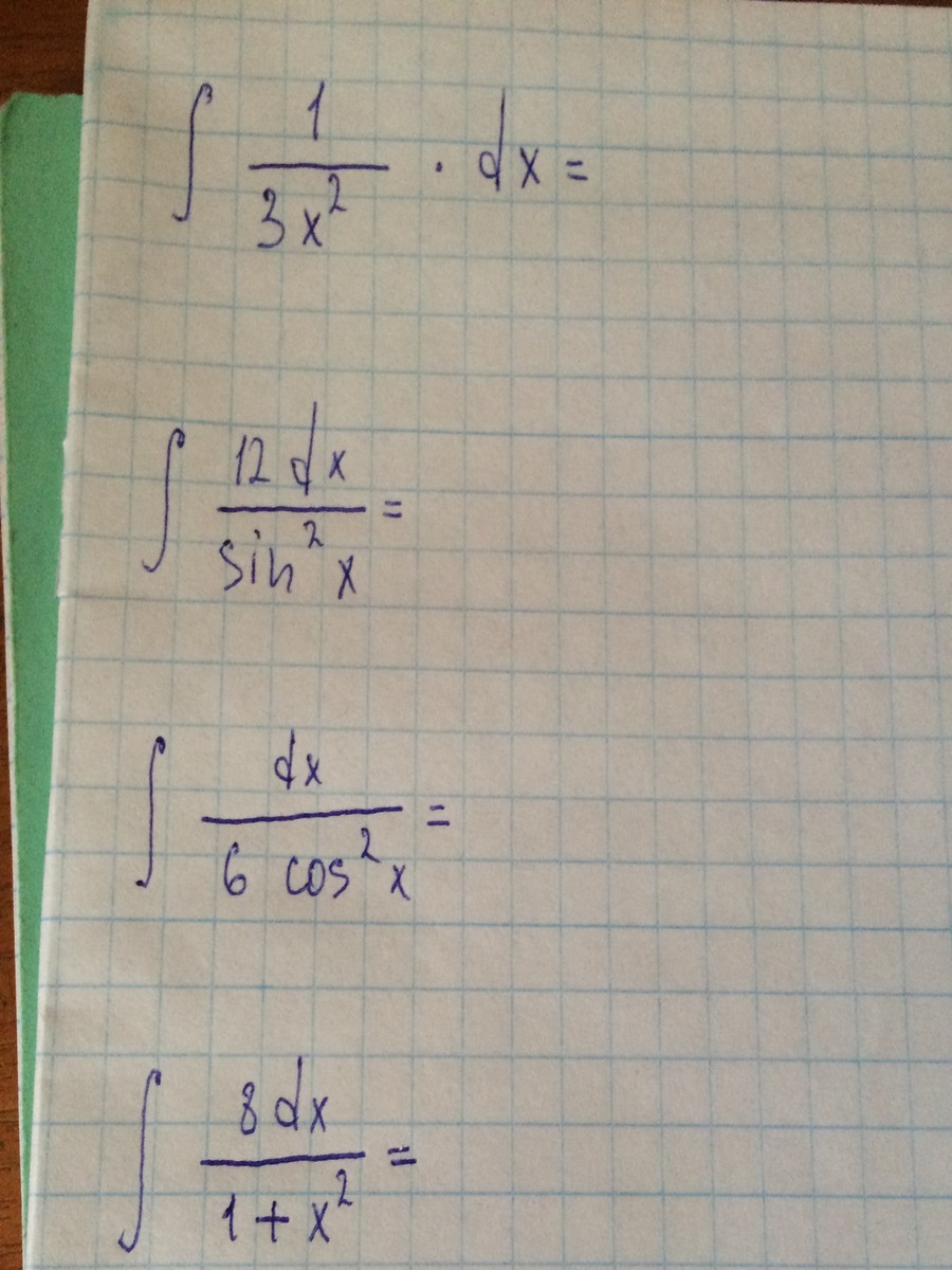
• Помогите!!! Найти не определенные интегралы ( если можно по подробнее )

    question img

Ответы 1

  • Здесь все интегралы табличные ! Поэтому смотри в таблицу и сравнивай.\int \frac{1}{3x^2}dx=\frac{1}{3}\cdot \int x^{-2}dx=\frac{1}{2}\cdot \frac{x^{-1}}{-1}+C=-\frac{1}{2x}+C\\\\\int  \frac{12\, dx}{sin^2x}=-12\cdot ctgx+C\\\\\int  \frac{dx}{6cos^2x}=\frac{1}{6}\cdot tgx+C\\\\\int \frac{8}{x^2+1}=8\cdot arctgx+C
  • Добавить свой ответ

Войти через Google

или

Забыли пароль?

У меня нет аккаунта, я хочу Зарегистрироваться

How much to ban the user?
1 hour 1 day 100 years