• решить неравенство :
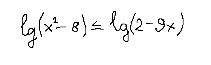
    lg(x^2-8)<=lg(2-9x)

    question img

Ответы 1

  • Функция lg(t)-возрастающая ==> знак неравенства не меняемООН: x²-8>0  -->  x<-√8 или x>√8          2-9x>0 ---> x<2/9x<-√8x²-8<=2-9xx²+9x-10<=0x1=1x2=-10x∈[-10;1]
    answer img
  • Добавить свой ответ

Войти через Google

или

Забыли пароль?

У меня нет аккаунта, я хочу Зарегистрироваться

How much to ban the user?
1 hour 1 day 100 years