• Помогите найти неопределённые интегралы ( если можно по подробнее)

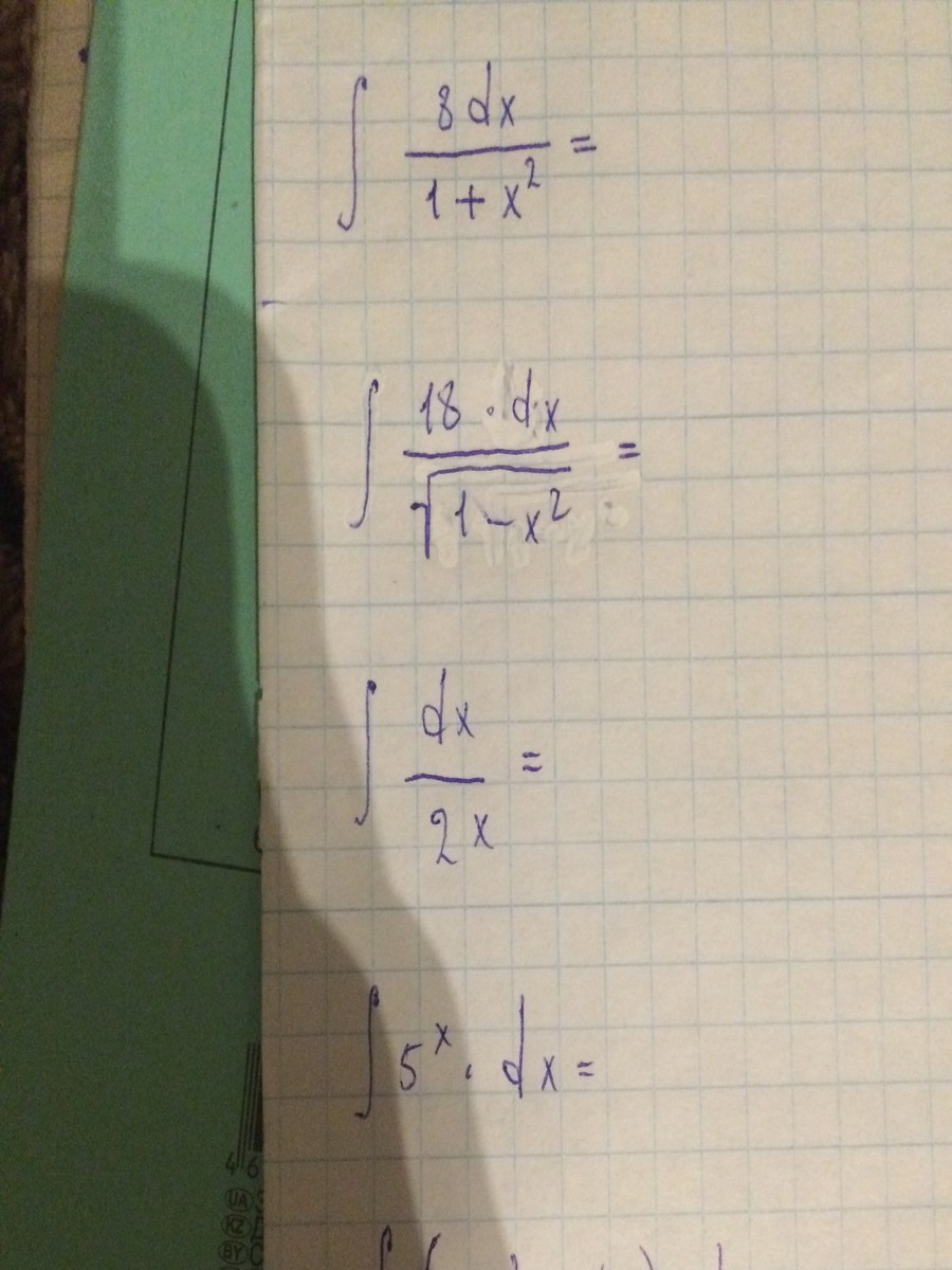
    question img

Ответы 1

  • 1) 8.arctg x + C2)18.arcsin x + C (x z int. (-1,1)3)1/2. ln/x/ +C  ( x net rovno 0)Eto vce tabličnyje integraly s multiplikativní konstantou, kotoraja neizmenjaetsja.
    • Автор:

      dominic
    • 6 лет назад
    • 0
  • Добавить свой ответ

Войти через Google

или

Забыли пароль?

У меня нет аккаунта, я хочу Зарегистрироваться

How much to ban the user?
1 hour 1 day 100 years