• Помогите, пожалуйста! С наступающим Вас Новым годом!!!

    question img

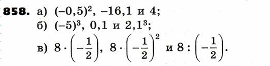
Ответы 1

  • а) -16,1; 0,25;4б) 0,1;9,261;125в) -16; -4; 2
  • Добавить свой ответ

Еще вопросы

Войти через Google

или

Забыли пароль?

У меня нет аккаунта, я хочу Зарегистрироваться

How much to ban the user?
1 hour 1 day 100 years