• Очень-очень нужно! Спасибо! С наступающим Вас Новым 2016 годом!!!

    question img

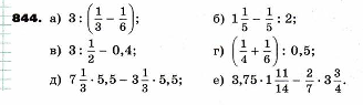
Ответы 1

  • а) 18 б) 1,1 в) 5,6 г) 5/6 д) 22 е) 4,5
    • Автор:

      bernarda
    • 6 лет назад
    • 0
  • Добавить свой ответ

Войти через Google

или

Забыли пароль?

У меня нет аккаунта, я хочу Зарегистрироваться

How much to ban the user?
1 hour 1 day 100 years