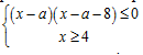
• при каких значениях параметра а множеством решений системы неравенств ,есть числовой отрезок, длина которого - 5

    question img

Ответы 1

  • (x-a)(x-a-8)≤0x=a  x=a+8a≤x≤a+81)a≥4⇒x∈[a;a+8]|a+8-a|=8  8≠52)a<4⇒x∈[4;a+8]|a+8-4|=5|a+4|=5a+4=-5⇒a=-9 U a+4=5⇒a=1
  • Добавить свой ответ

Войти через Google

или

Забыли пароль?

У меня нет аккаунта, я хочу Зарегистрироваться

How much to ban the user?
1 hour 1 day 100 years