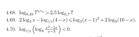
• Ребята, пожалуйста, помогите
    решить ....10 класс логарифмические неравенства
    22 балла

    question img

Ответы 2

  • спасибо большое
  • спасибо большое
    • Автор:

      colten
    • 6 лет назад
    • 0
  • Добавить свой ответ

Еще вопросы

Войти через Google

или

Забыли пароль?

У меня нет аккаунта, я хочу Зарегистрироваться

How much to ban the user?
1 hour 1 day 100 years