• решите уравнение с помощью введения новой переменной

    question img

Ответы 2

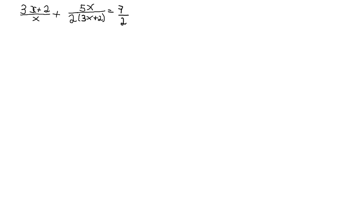
  •  \frac{3x+2}{x}+ \frac{5x}{2(3x+2)}= \frac{7}{2}   обозначим y=\frac{3x+2}{x}y+ \frac{5}{2y}= \frac{7}{2}  домножим на 2y2y²+5=7y2y²-7y+5=0D=7²-4*2*5=49-40=9y₁=(7-3)/4=1  y₂=(7+3)/4=10/4=5/21)  \frac{3x_1+2}{x_1}=13x₁+2=x₁2x₁=-2x₁=-12) \frac{3x_2+2}{x_2}= \frac{5}{2} 2(3x₂+2)=5x₂6x₂+4=5x₂x₂=-4Ответ: х=-1 и х=-4
    • Автор:

      layton
    • 6 лет назад
    • 0
  • вначале надо написать х≠0и х≠-2/3
    answer img
  • Добавить свой ответ

Войти через Google

или

Забыли пароль?

У меня нет аккаунта, я хочу Зарегистрироваться

How much to ban the user?
1 hour 1 day 100 years