• Помогите пожалуйста!!!!! Ооооочень нужно!!!
    СРОЧНО!!!!! Спасибо!!!!!

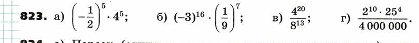
    question img

Ответы 2

  • Спасибо.
    • Автор:

      kaiao1hk
    • 6 лет назад
    • 0
  • г) не знаю ((((((((((((((((((((((((((((

    answer img
    • Автор:

      bobf9r
    • 6 лет назад
    • 0
  • Добавить свой ответ

Еще вопросы

Войти через Google

или

Забыли пароль?

У меня нет аккаунта, я хочу Зарегистрироваться

How much to ban the user?
1 hour 1 day 100 years