• Помогите пожалуйста полностью решить и подробно)

    дам 36 баллов

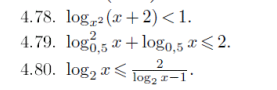
    question img

Ответы 1

  • ОДЗx≠0,x≠1,x>-2x∈(-2;0) U (0;1) U (1;∞)1)x∈(-2;0)  U (1;∞)x+2<x²x²-x-2>0x1+x2=1 U x1*x2=-2⇒x1=-1 U x2=2x<-1 U x>2x∈(-2;-1) U (2;∞)2)x∈(0;1)x+2>x²x²-x-2<0-1<x<2x∈(0;1)Ответ x∈(-2;-1) U (0;1) U (2;∞)2x>0log(0,5)x=aa²+a-2≤0a1+a2=-1 U a1*a2=-2⇒a1=-2 u a2=1-2≤a≤1⇒-2≤log(0,5)x≤1⇒1/2≤x≤4Ответ x∈[1/2;4]3ОДЗx>0log(2)x=a(a²-a-2)/(a-1)≤0a²-a-2=0a1+a2=1 U a1*a2=-2⇒a1=-1 U a2=2a-1=0⇒a=1           _              +              _                  +--------------[-1]-----------(1)----------[2]-----------------a≤-1⇒log(2)x≤-1⇒x≤1/21<a≤2⇒1<log(2)x≤2⇒2<x≤4Ответ x∈(0;1/2] U (2;4]
    • Автор:

      chaosray
    • 6 лет назад
    • 0
  • Добавить свой ответ

Войти через Google

или

Забыли пароль?

У меня нет аккаунта, я хочу Зарегистрироваться

How much to ban the user?
1 hour 1 day 100 years