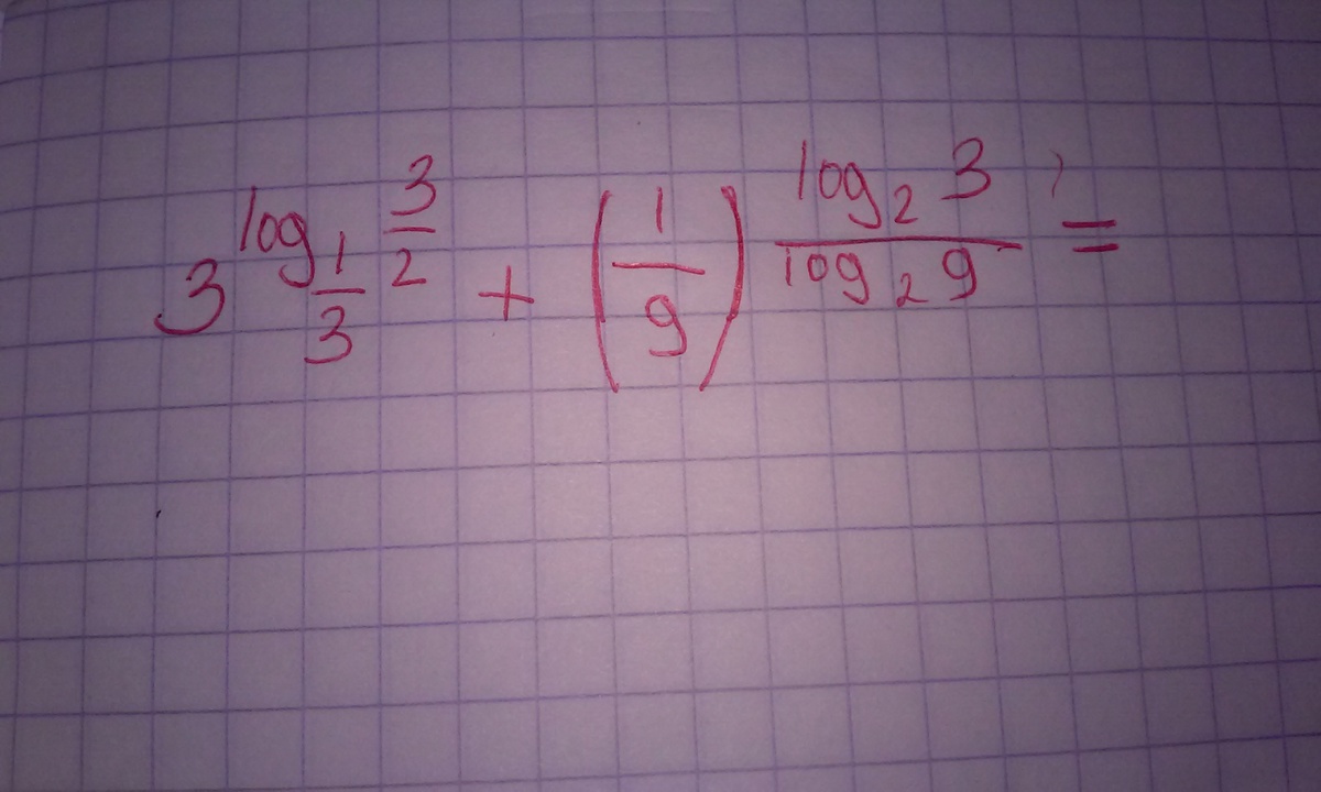
• помогите пожалуйста, немогу решить логарфимическое выражение(((

    question img

Ответы 3

  • спасибо вам огромное!!!:)))
  • пожалуйста
  • решение во вложении.......
    answer img
  • Добавить свой ответ

Еще вопросы

Войти через Google

или

Забыли пароль?

У меня нет аккаунта, я хочу Зарегистрироваться

How much to ban the user?
1 hour 1 day 100 years