• Решите систему уравнений пожалуйста срочно нужно....

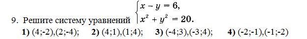
    question img

Ответы 1

  • Надо использовать метод подстановки: у = х - 6.х² + (х - 6)² = 20х² + х² - 12х + 36 - 20 = 0.2х² - 12х + 16 = 0   можно сократить на 2.х² - 6х + 8 = 0.Квадратное уравнение, решаем относительно x: Ищем дискриминант:D=(-6)^2-4*1*8=36-4*8=36-32=4;Дискриминант больше 0, уравнение имеет 2 корня:x₁=(√4-(-6))/(2*1)=(2-(-6))/2=(2+6)/2=8/2=4;x₂=(-√4-(-6))/(2*1)=(-2-(-6))/2=(-2+6)/2=4/2=2.Имеем 2 значения х, находим соответствующие им значения у:у₁ = 4 - 6 = -2,у₂ = 2 - 6 = -4.Ответ: 1) (4; -2), (2; -4).
  • Добавить свой ответ

Войти через Google

или

Забыли пароль?

У меня нет аккаунта, я хочу Зарегистрироваться

How much to ban the user?
1 hour 1 day 100 years