• Помогите решить, задание лёгкое ,просто забыл как решается)))

    question img

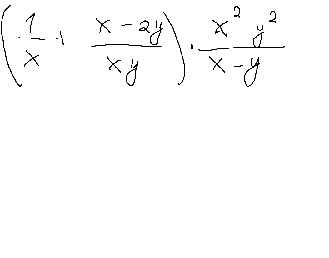
Ответы 1

  • решение в приложении.
    answer img
    • Автор:

      hooch
    • 6 лет назад
    • 0
  • Добавить свой ответ

Войти через Google

или

Забыли пароль?

У меня нет аккаунта, я хочу Зарегистрироваться

How much to ban the user?
1 hour 1 day 100 years